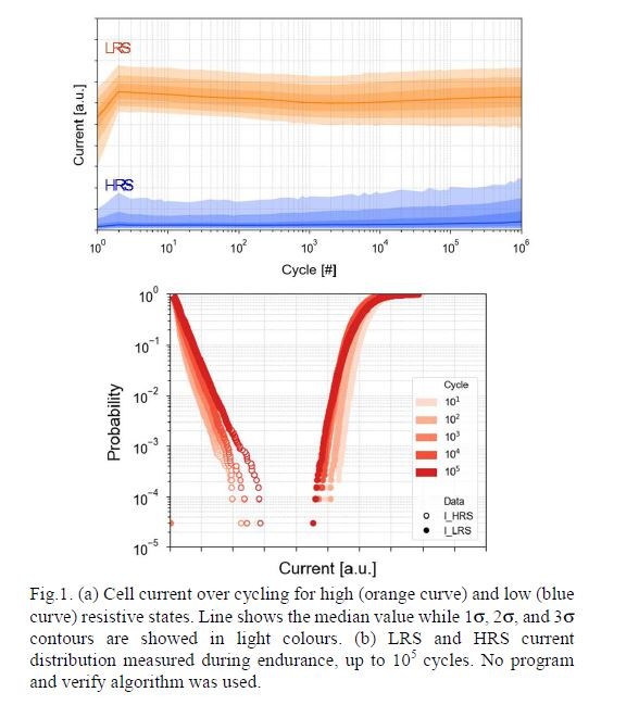
書き換えサイクル試験の結果。上のグラフは読み出し電流の変化。横軸がサイクル数(対数目盛り)、縦軸が電流値。下のグラフは電流分布の変化。横軸が電流値、縦軸が累積確率。Weebit NanoがIMW 2022で発表した論文(論文番号2.1)から

書き換えサイクル試験の結果。上のグラフは読み出し電流の変化。横軸がサイクル数(対数目盛り)、縦軸が電流値。下のグラフは電流分布の変化。横軸が電流値、縦軸が累積確率。Weebit NanoがIMW 2022で発表した論文(論文番号2.1)から