猫はどうやって「ゴロゴロ」を鳴らせるのか?研究論文が発表
(4/4)
前の画像
(4/4)
記事へ
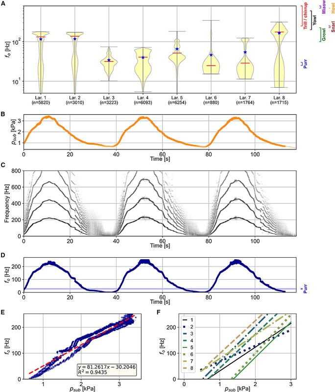
8匹家猫から得られたデータ
前の画像
(4/4)
記事へ