前の画像
次の画像
記事へ
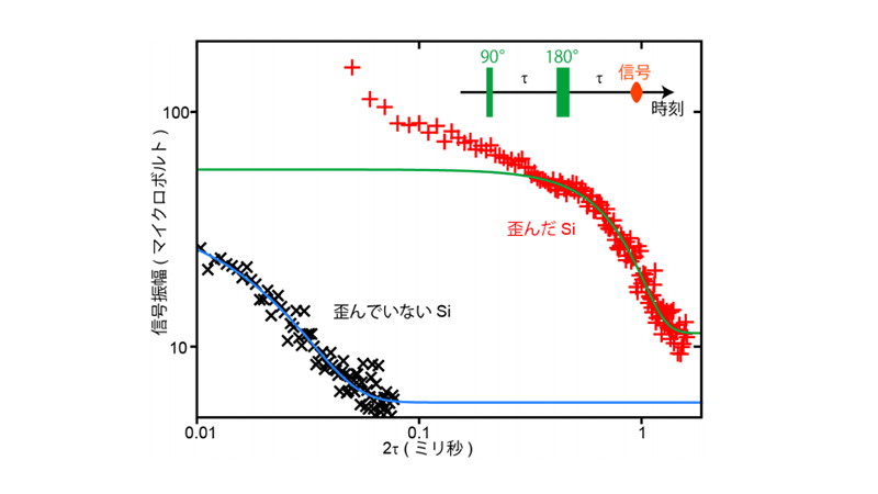
Hahnエコー法によるコヒーレンス時間の測定結果
理研ら、量子ビットの制御エラーを劇的に低減可能に
2020年3月10日
日本初のIBM製「ゲート型商用量子コンピュータ」が新川崎で稼働。アメリカ、ドイツに次いで世界で3番目
2021年7月27日
2030年に1,000万人が量子技術を意識せずに使用できる社会に。「量子技術による新産業創出協議会」が社団法人化
2022年5月24日